搜索
查看: 6838|回复: 0

70城最新房价出现1个重要信号 下半年来首次

[复制链接]
发表于 2022-12-15 18:52:35 | 显示全部楼层 |阅读模式

70城最新房价出现一个重要信号 为下半年来的“首次”

  中新网12月15日电(中新财经记者 左宇坤)12月15日,国家统计局公布2022年11月份70个大中城市商品住宅销售价格变动情况。总体来看,11月各线城市商品住宅销售价格环比下降,一线城市同比涨幅回落、二三线城市同比降势趋缓。

  市场又出现了新的变化。新的一年即将到来,适合考虑买房吗?

  房价跌幅出现收窄信号

  国家统计局数据显示,11月一线城市商品住宅销售价格环比降幅略扩,二三线城市环比降幅收窄或与上月相同。

  具体来看,一线城市新建商品住宅和二手住宅销售价格环比分别下降0.2%和0.4%,降幅比上月均扩大0.1个百分点。二线城市新建商品住宅和二手住宅销售价格环比分别下降0.2%和0.4%,降幅比上月均收窄0.1个百分点。三线城市新建商品住宅销售价格环比下降0.3%,降幅比上月收窄0.1个百分点;二手住宅销售价格环比下降0.5%,降幅与上月相同。

  易居研究院智库中心研究总监严跃进指出,根据简单算术平均计算,11月份全国70个城市新建商品住宅价格指数环比涨幅为-0.2%,同比涨幅为-2.3%;而在10月,这两个数据分别为-0.5%和-3.7%。

  在严跃进看来,房价指数跌幅收窄这一信号值得重点关注,说明四季度“金融16条”“三支箭”等政策,客观上已经对房企的预期有了积极修正,房屋定价策略也开始出现了变化。

  “保交楼提速,房企资金面开始缓解,需求端政策力度加大的释放效应,都对房价的稳定有效果。”广东省城规院住房政策研究中心首席研究员李宇嘉表示。

  此外,11月份,70个大中城市中,新建商品住宅销售价格环比下降城市有51个,比上月减少7个;二手住宅销售价格环比下降城市有62个,个数与上月相同。

  这同样也是下半年来首次新房价格下降的城市数量环比减少。严跃进认为,这个现象背后源于房企定价策略在调整,也有助于引导市场预期的变化。

2022年11月70个大中城市新建商品住宅销售价格指数

2022年11月70个大中城市新建商品住宅销售价格指数

2022年11月70个大中城市新建商品住宅销售价格指数。截图自国家统计局官网

  热点城市房价现分化

  从11月新房环比上涨的城市来看,既有一线城市京沪,也有杭州、南京、长沙、成都等。但同期广州、深圳新房环比跌幅都达到0.5%,导致一线城市新房价格环比跌幅继续扩大,但二三线城市跌幅收窄,显示政策效应、降价效应和预期效应对销售有一定的带动作用。

  同为一线城市,广深与京沪为何出现了相反的房价走向?李宇嘉认为,首先广深是粤系房企最集中的地方,房企面对困难会导致开发商层面的降价行为;其次广深相比京沪,外来人口购房比例高,疫情影响了外来人口购房及投资性购房。

  当然,我们也不应忽视11月仍有51个城市新房的房价同比、环比均下跌。李宇嘉认为,结合11月份商品住房销售面积、金额单月同环比都在下跌,且同比跌幅还在扩大,意味着这种下跌减缓应该是结构性的。

  “政策调整释放部分改善性需求,以及由于政策空前利好,利率创新低,一部分投资性需求看好中心区性价比高的高价宅,提前入市。”李宇嘉说。

  58安居客房产研究院分院院长张波也指出,房企促销力度增大,以及供给结构变化是新房价格变动的主要原因。另从二手房市场来看,市场总体降温的态势要比新房表现得更为明显,这一点从部分一线城市二手房价环比下行可以明确看出。

  “一线城市二手房环比下行趋势扩大也显示出11月市场处于历史低位,市场底部已逐步清晰。”张波认为。

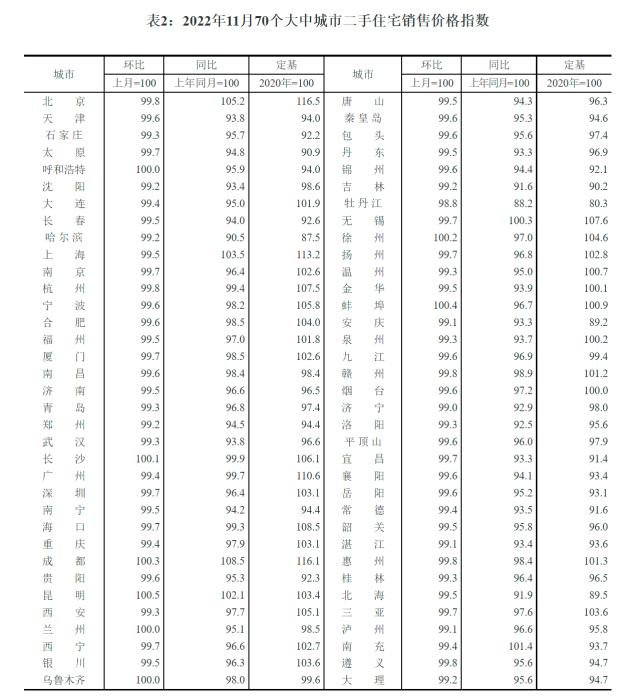
2022年11月70个大中城市二手住宅销售价格指数

2022年11月70个大中城市二手住宅销售价格指数

2022年11月70个大中城市二手住宅销售价格指数。截图自国家统计局官网

  未来市场走向如何?提升信心是关键

  对于未来市场走向,业内分析均认为,应从房企侧的供给端和购房者的需求端分别考虑。

  “目前房价企稳的动力,不在于房屋销售数据的提振层面,而在于房企资金状况改善。”严跃进认为,有别于过去的“交易稳则房价稳”,目前更偏向于“房企稳则房价稳”的逻辑。接下来要积极结合疫情防控政策调整和市场基本面恢复的状态,积极稳房价稳预期稳信心。

  “11月政策频出,但多在供给侧发力,着力解决房企融资问题,对有效防范和化解房地产市场风险意义更为明显。”张波认为,但需求侧的信心恢复在11月还未明显体现,市场的依然处于底部,因此房价也并不会很快转跌为升。

  张波同样认为,随着12月开始疫情防控政策的不断优化,社会经济面整体向好的大趋势将体现的更为明显,这对于需求侧的入场会起到根本性拉动作用。

  近日,中共中央、国务院引发《扩大内需战略规划纲要(2022-2035年)》,房地产调控的整体思路和推进方向没有发生改变,房住不炒、租购并举的住房制度依然是重中之重。

  张波预计,虽然未来半年内房地产市场企稳回升的趋势将更为明确,但房价依然不会出现大涨,预计不同等级城市将轮动走稳回升。

  贝壳研究院市场分析师刘丽杰也认为,企业融资支持政策加快保交楼的实质性进展,换房退税等改善性需求支持政策促使需求释放,预计2023年市场将逐步呈现量价趋稳走势。(完)
回复

使用道具 举报

您需要登录后才可以回帖 登录 | 点击注册

本版积分规则

QQ|Archiver|SiXiang.com 思乡思想

GMT+8, 2025-11-3 09:15

Powered by Discuz! X3.5

© 2001-2025 Discuz! Team.

快速回复 返回顶部 返回列表